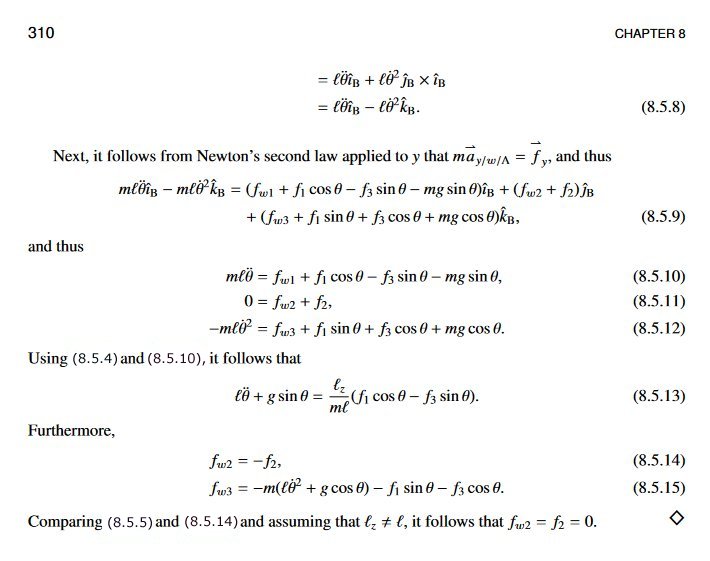
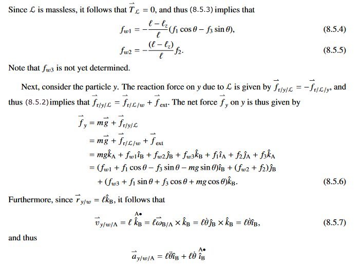
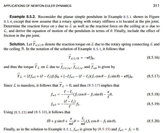
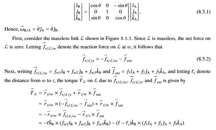
Clock Repair Main Page
Links Page